• Предмет: Математика
  • Автор: aidausenova
  • Вопрос задан 9 лет назад

Пожалуйста помогите решить tg225-tg195=?

Ответы

Ответ дал: Trover
0
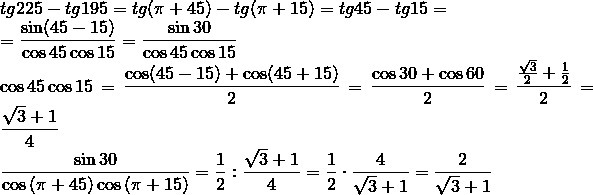
tg225-tg195=tg(pi+45)-tg(pi+15)=tg45-tg15=\=frac{sin(45-15)}{cos45cos15}=frac{sin30}{cos45cos15}\cos45cos15=frac{cos(45-15)+cos(45+15)}2=frac{cos30+cos60}2=frac{frac{sqrt3}2+frac12}2=frac{sqrt3+1}4\frac{sin30}{cosleft(pi+45right)cosleft(pi+15right)}=frac12:frac{sqrt3+1}4=frac12cdotfrac4{sqrt3+1}=frac2{sqrt3+1}
Приложения:
Вас заинтересует