Ответы
Ответ дал:
0
1.

2.

3.

2.
3.
Ответ дал:
0
Могли бы расписать чуть подробнее,пожалуйста. Тему не очень понимаю.
Ответ дал:
0
А я еще хуже понимаю.
Ответ дал:
0
Писать формулы очень-очень сложно.
Ответ дал:
0
я все расписал в своем ответе.
Ответ дал:
0
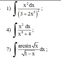
решение интегралов в приложенном файле
Приложения:

Вас заинтересует
2 года назад
7 лет назад
7 лет назад
9 лет назад
9 лет назад
10 лет назад
10 лет назад