Ответы
Ответ дал:
0
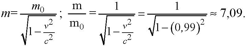
дано: v = 0,99 c.
найти (1 картинка)
решение (2 картинка)
ответ (3 картинка)
найти (1 картинка)
решение (2 картинка)
ответ (3 картинка)
Приложения:



Вас заинтересует
2 года назад
2 года назад
7 лет назад
7 лет назад
9 лет назад
10 лет назад