Ответы
Ответ дал:
0
.....................
Приложения:

Ответ дал:
0
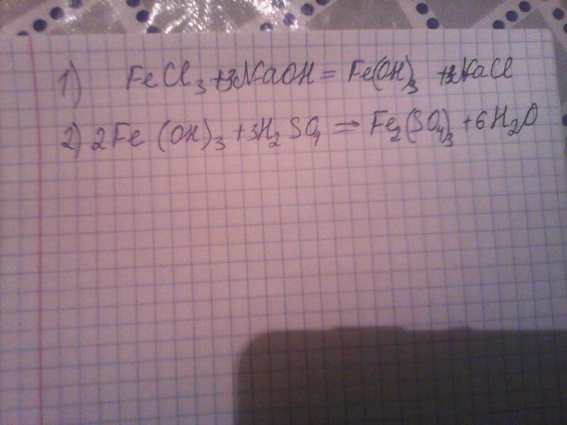
FeCl3 + 3NaOH=> Fe(OH)3 + 3NaCl
2Fe(OH)3 + 3H2SO4 => Fe2(SO4)3 + 6H2O
2Fe(OH)3 + 3H2SO4 => Fe2(SO4)3 + 6H2O
Ответ дал:
0
FeCl3+3NaOH=Fe(OH)3+3NaCl
2Fe(OH)3+3H2SO4=>Fe2(SO4)3+6H2O
2Fe(OH)3+3H2SO4=>Fe2(SO4)3+6H2O
Приложения:

Вас заинтересует
2 года назад
2 года назад
7 лет назад
7 лет назад
9 лет назад
9 лет назад