• Предмет: Геометрия
  • Автор: LadySnake
  • Вопрос задан 11 лет назад

СРОЧНО! Решите пожалуйста с подробным объяснением и С РИСУНКОМ! Два отрезка касаются своими концами 2х параллельных плоскостей(пересекают их). Длины отрезков равны 26 и 30 см., а их проекции на одну из плоскостей относятся 5:9. Найдите расстояние между плоскостями. 

Ответы

Ответ дал: EpicArctic
0

(Рисунок во вложении)

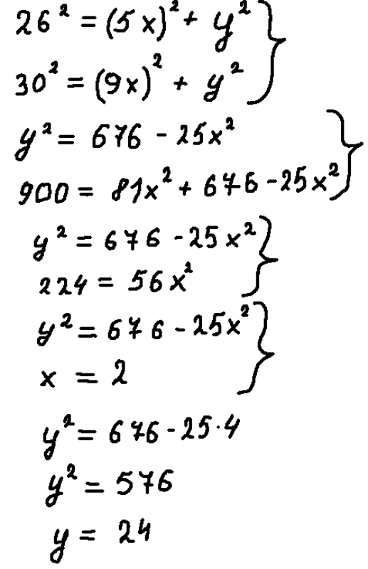
Отрезки АВ и А1В1 касаются своими концами  А, А1 и В, В1 плоскостей  бета и альфа  соответственно. Проведем перпендикуляры  с пунктов В и В1, они пересекают плоскость бета в пунктах С и С1. АС и А1С1 проекции отрезков АВ и А1В1 на плоскость бета. У нас есть 2 прямоугольных треугольника АВС и А1В1С1.  Раз     отношение их катетов АС и А1С1 = 5:9, то мы можем обозначить АС через 5х, а А1С1 через 9х. ВС = В1С1 обозначим их через у (расстояния между двумя параллельными плоскостями)  найдем их по теореме Пифагора из треугольников  АВС и А1В1С1. (во вложении).

у = ВС = В1С1=24 (это и есть наше расстояние)

Приложения:
Ответ дал: Nina200
0

пусть отрезки АВ и СД касаются плоскостей в точках А, В, С, Д. АВ=30 см, СД=26 см

проекцией отрезка на плоскость называют отрезок между основанием наклонной и основанием перпендикуляра, проведённых из одной точки, поэтому  АЕ-проекция отрезка АВ на плоскость альфа, КД-проекция отрезка СД на плоскость альфа. 

пусть х-коэффициент отношения, тогда АЕ=9х, КД=5х

из прямоугольного треугольника АВЕ

BE^2=AB^2-AE^2=30^2-(9x)^2

из прямоугольного треугольника СКД

СK^2=CД^2-КД^2=26^2-(5x)^2

расстояние между параллельными плоскостями d=BE=CK

d^2=30^2-81x^2

d^2=26^2-25x^2

раз равны левые части уравнений, то и правые части тоже должны быть равны

30^2-81x^2=26^2-25x^2

30^2-26^2=81x^2-25x^2

(30-26)(30+26)=56x^2

4*56=56x^2

x^2=4

x=2

AE=9*2=18

BE^2=30^2-18^2=(30-18)(30+18)=12*48

BE=корень из 12*48= корень из 4*3*16*3=2*3*4=24 

ответ 24

 

 

 

 

 

 

 

 

 

 

 

 

 

 

 

 

 

 

 

 

 

 

 

 

 

 

 

 

 

 

 

 

 

 

 

 

 

 

 

 

 

 

 

 

 

 

 

Приложения:
Вас заинтересует