• Предмет: Математика
  • Автор: KopKing
  • Вопрос задан 9 лет назад

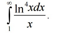
Исследовать несобственный интеграл

Приложения:

Ответы

Ответ дал: sweetburning
0
= lim_{b to infty}  intlimits^b_1 { frac{ln^4(x)}{x} } , dx  = lim_{b to infty}  frac{ln^5(x)}{x} (в пределах от 1 до b)

= frac{1}{5}  lim_{bto infty} ln^5(b)

Такой интеграл расходится, т.к. ясно, что он больше интеграла ln(x), который расходится.
Вас заинтересует