Ответы
Ответ дал:
0
Решение на фотографии.............
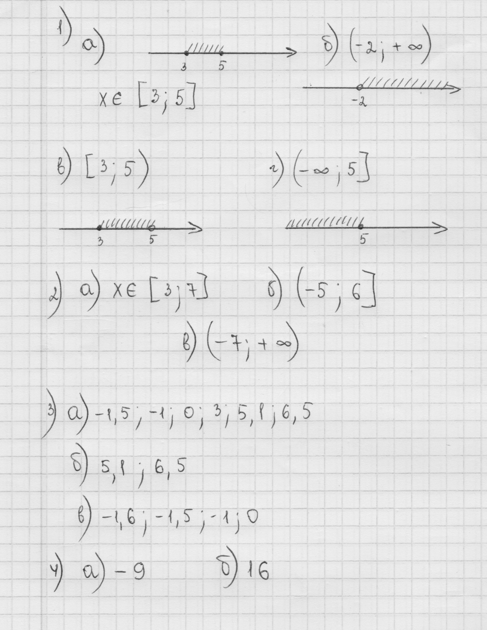
в 1 номере рисунки смотри, это и есть ответы
во 2 номере тоже написаны сразу ответы
в 3 номере тоже записаны сразу ответы
в 4 номере не поверишь! Тоже записаны сразу ответы
в 1 номере рисунки смотри, это и есть ответы
во 2 номере тоже написаны сразу ответы
в 3 номере тоже записаны сразу ответы
в 4 номере не поверишь! Тоже записаны сразу ответы
Приложения:
Ответ дал:
0
Всм не понятно???
Ответ дал:
0
там же всё написано, внимательно почитай
Ответ дал:
0
Мне буквы нужны , напримет 1-какой ответ?
Ответ дал:
0
А все поняла
Ответ дал:
0
пасибо
Вас заинтересует
2 года назад
2 года назад
7 лет назад
10 лет назад
10 лет назад
10 лет назад