Ответы
Ответ дал:
0
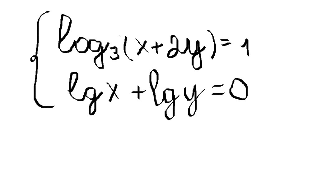
ОДЗ: x>0 и у>0

Вас заинтересует
2 года назад
2 года назад
7 лет назад
7 лет назад
10 лет назад
10 лет назад
10 лет назад