• Предмет: Математика
  • Автор: капелька69
  • Вопрос задан 9 лет назад

знаю изи, но у меня не выходит

Приложения:

Ответы

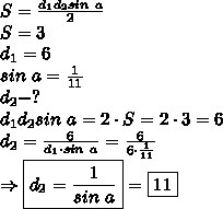
Ответ дал: alina152152
0
вот держи, рассмотри решение

Приложения:
Ответ дал: MrsVaderr
0
Подставляем все известные значения и решаем:
56,25=9*d2*5/8 /2
56,25=2,8125d2
d2=20
Приложения:
Вас заинтересует