• Предмет: Алгебра
  • Автор: Polina6901
  • Вопрос задан 9 лет назад

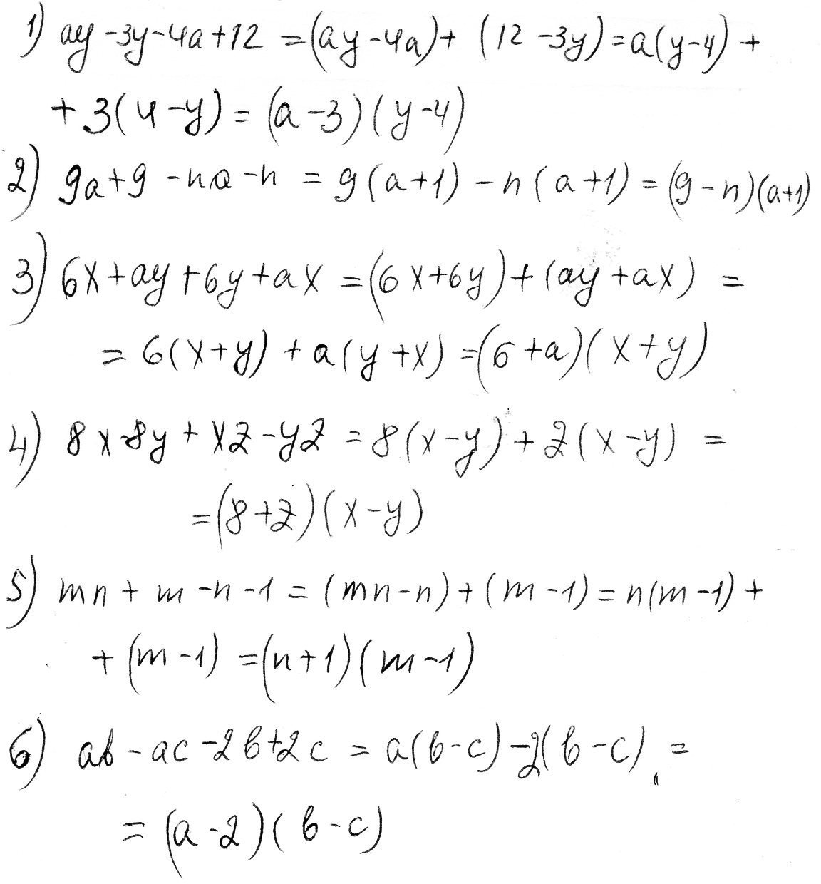
представьте в виде произведения многочленов выражение
Номер /477

Приложения:

Ответы

Ответ дал: DominikUser3
0
решение в подвешенном файле
Приложения:
Вас заинтересует