• Предмет: Алгебра
  • Автор: pivenandrey
  • Вопрос задан 9 лет назад

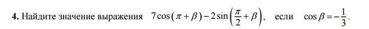
Ребят, у меня скоро КДР помогите, пожалуйста, подготовиться, все задания разделю на несколько частей )

Приложения:

Ответы

Ответ дал: sedinalana
0

-7cosb-2cosb=-9cosb=-9*(-1/3)=3

Вас заинтересует