• Предмет: Алгебра
  • Автор: katyalevi
  • Вопрос задан 9 лет назад

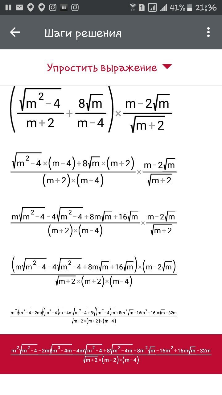
Помогите пожалуйста решить пример

Приложения:

Ответы

Ответ дал: helaemvu
0
))))))))))))))))))))))))))))))))))))))
Приложения:
Ответ дал: magicmasha
0
((м^1/2-2)/(м^1/2+2)+8(м^1/2)/(м-4)):(м^1/2+2)/(м-2*м^1/2)= ((м^1/2-2)/(м^1/2+2)+(8*м^1/2)/(м^1/2-2)(м^1/2+2))*(м^1/2(м^1/2-2))/(м^1/2+2)= (((м^1/2-2)(м^1/2-2)+8*м^1/2)/(м^1/2-2)(м^1/2+2)*(м^1/2(м^1/2-2))/(м^1/2+2)= ((м-2*2*м^1/2+4+8*м^1/2)*м^1/2)/(м^1/2+2)^2= ((м+2*2*м^1/2+4)*м^1/2)/(м^1/2+2)^2= ((м^1/2+2)^2*м^1/2)/(м^1/2+2)^2= м^1/2.
Приложения:
Ответ дал: magicmasha
0
я сейчас допишу, ребёнок выбил телефон из рук)
Ответ дал: magicmasha
0
степень 1/2 - корень квадратный...
Ответ дал: magicmasha
0
если что не понятно, пиши...
Вас заинтересует