Плеез помогите, буду очень благодарна) ((С дано и решением))
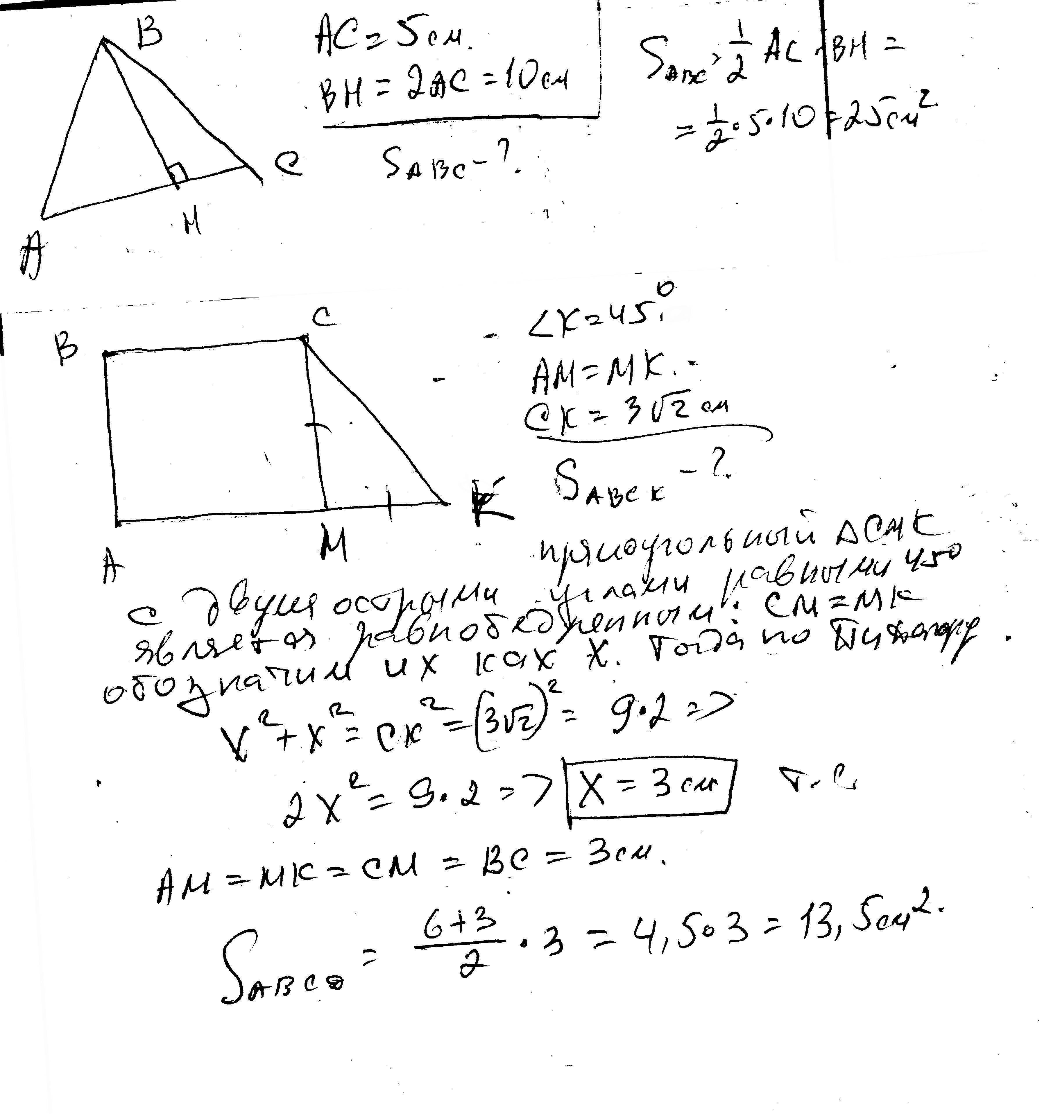
1. Сторона треугольника равна 5 см, а высота, проведенная к ней, в два раза больше стороны. Найдите площадь треугольника.
2.Катеты прямоугольного треугольника равны 6 и 8 см. Найдите гипотенузу и площадь треугольника.
3. Найдите площадь и периметр ромба, если его диагонали равны 8 и 10 см.
4. В прямоугольном треугольной трапеции ABCK большая боковая сторона равна 3√2 см, угол K равен 45°, а высота CH делит основание AK пополам. Найдите площадь трапеции.
Ответы
Ответ дал:
0
решение в скане...................
Приложения:


Вас заинтересует
2 года назад
2 года назад
7 лет назад
7 лет назад
9 лет назад
10 лет назад