Ответы
Ответ дал:
0
область определения функции: x≠-2
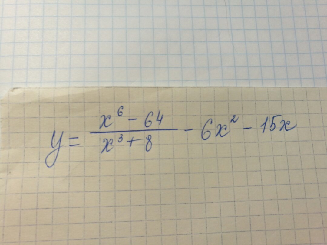
y = (x³ - 8)(x³ + 8)/(x³ + 8) - 6x² - 15x = x³ - 6x² - 15x - 8.
y' = 3x² - 12x - 15 = 0
x² - 4x - 5 = 0
D = 16 + 20 = 36
√D = 6
x1 = (4+6)/2 = 5
x2 = (4-6)/2 = -1
y(5) = 125 - 150 - 90 - 8 = -123 - наименьшее значение функции
y(-1) = -1 - 6 +15 - 8 = 0 - наибольшее значение функции
Ответ: 0 в точке х = -1.
y = (x³ - 8)(x³ + 8)/(x³ + 8) - 6x² - 15x = x³ - 6x² - 15x - 8.
y' = 3x² - 12x - 15 = 0
x² - 4x - 5 = 0
D = 16 + 20 = 36
√D = 6
x1 = (4+6)/2 = 5
x2 = (4-6)/2 = -1
y(5) = 125 - 150 - 90 - 8 = -123 - наименьшее значение функции
y(-1) = -1 - 6 +15 - 8 = 0 - наибольшее значение функции
Ответ: 0 в точке х = -1.
Вас заинтересует
3 года назад
3 года назад
7 лет назад
7 лет назад
10 лет назад
10 лет назад
10 лет назад