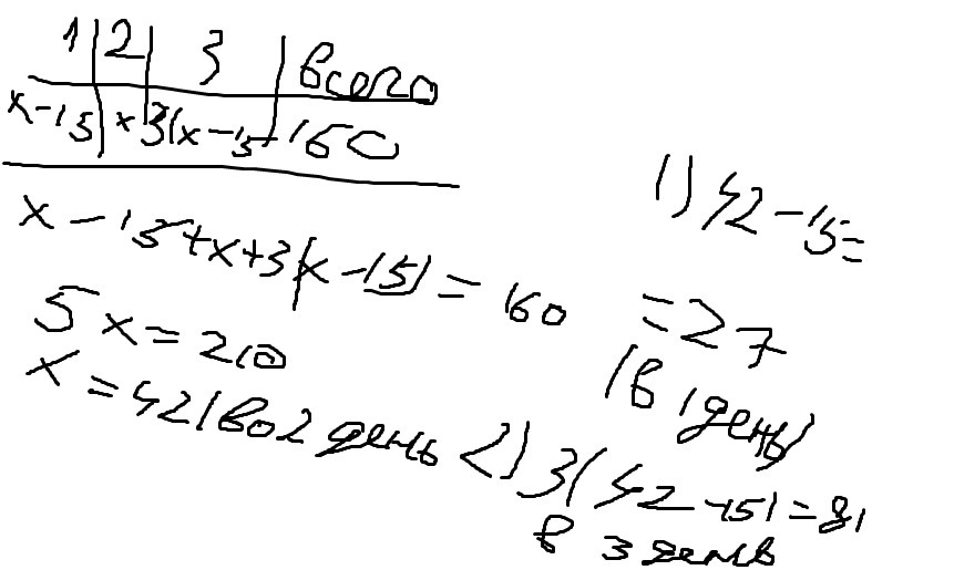
за три дня кассир продал на спектакль 160 билетов. В первый день он продал на 15 билетов меньше,чем во второй и в 3 раза меньше ,чем в третий день.колько билетов продал кассир в каждый из этих дней
Ответы
Ответ дал:
0
вроде так надо или нет?
Приложения:

Вас заинтересует
2 года назад
7 лет назад
9 лет назад
9 лет назад
10 лет назад
10 лет назад