• Предмет: Алгебра
  • Автор: Tanatyi
  • Вопрос задан 9 лет назад

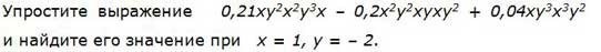
Помогите решить пожалуйста✨✨✨

Приложения:

Ответы

Ответ дал: katrina58катя
0
0,21х1х(-22)х(12)х(-23)х1-0,2х(12)х(-22)х1х(-2)х1х(-22)+0,04х1х(-23)х(13)х(-22)=-11,84
Вас заинтересует