• Предмет: Алгебра
  • Автор: keenneenenene
  • Вопрос задан 9 лет назад

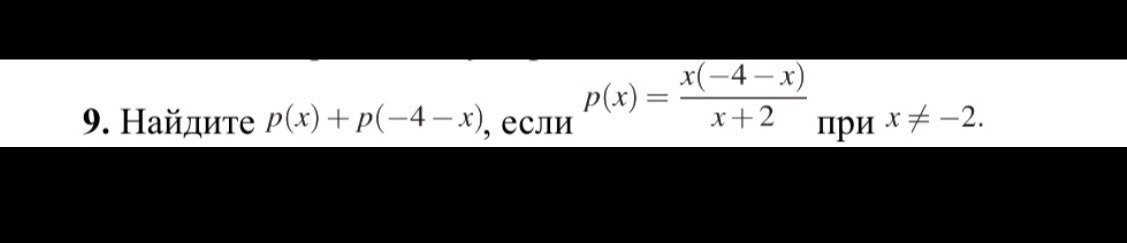
Помогите, 11 класс и распишите как делать

Приложения:

Ответы

Ответ дал: irinan2014
0
Вместо Х подставляем  -4-Х и далее решаем.
Приложения:
Вас заинтересует