Ответы
Ответ дал:
0
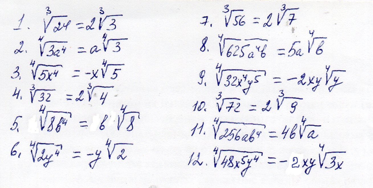
1) = 2![sqrt[3]{3} sqrt[3]{3}](https://tex.z-dn.net/?f=+sqrt%5B3%5D%7B3%7D+)
2) = a![sqrt[4]{3} sqrt[4]{3}](https://tex.z-dn.net/?f=+sqrt%5B4%5D%7B3%7D+)
3) = -x^4
4) = 2![sqrt[3]{4} sqrt[3]{4}](https://tex.z-dn.net/?f=+sqrt%5B3%5D%7B4%7D+)
5) = b![sqrt[4]{8} sqrt[4]{8}](https://tex.z-dn.net/?f=+sqrt%5B4%5D%7B8%7D+)
6) = -y![sqrt[4]{2} sqrt[4]{2}](https://tex.z-dn.net/?f=+sqrt%5B4%5D%7B2%7D+)
7) = 2![sqrt[3]{7} sqrt[3]{7}](https://tex.z-dn.net/?f=+sqrt%5B3%5D%7B7%7D+)
8) = 5a![sqrt[4]{b} sqrt[4]{b}](https://tex.z-dn.net/?f=+sqrt%5B4%5D%7Bb%7D+)
9) = -4xy![sqrt[4]{y} sqrt[4]{y}](https://tex.z-dn.net/?f=+sqrt%5B4%5D%7By%7D+)
10) = 2![sqrt[3]{9} sqrt[3]{9}](https://tex.z-dn.net/?f=+sqrt%5B3%5D%7B9%7D+)
11) = 4b![sqrt[4]{a} sqrt[4]{a}](https://tex.z-dn.net/?f=+sqrt%5B4%5D%7Ba%7D+)
12) = -2xy
2) = a
3) = -x^4
4) = 2
5) = b
6) = -y
7) = 2
8) = 5a
9) = -4xy
10) = 2
11) = 4b
12) = -2xy
Ответ дал:
0
Решение см во вложении
Приложения:

Вас заинтересует
7 лет назад
7 лет назад
9 лет назад
10 лет назад