Ответы
Ответ дал:
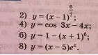
0
Ответ ответ ответ ответ ответ ответ ответ
Приложения:


Ответ дал:
0
2
=0
решения нет⇒точек экстремума нет
4
y`=-3sin3x-4=0
sin3x=-4/3<-1 решения нет ⇒точек экстремума нет
6
y`=-6(x+1)^5=0
x+1=0
x=-1
+ _
-----------------(-1)---------------------
max
ymax=y(-1)=1-(-1+1)^6=1
8
y`=1*e^x+e^x*(x-5)=e^x*(1+x-5)=e^x*(x-4)=0
e^x>0 при любом х
x-4=0
x=4
_ +
----------------(4)------------------
min
ymin=y(4)=(4-5)e^4=-e^4
решения нет⇒точек экстремума нет
4
y`=-3sin3x-4=0
sin3x=-4/3<-1 решения нет ⇒точек экстремума нет
6
y`=-6(x+1)^5=0
x+1=0
x=-1
+ _
-----------------(-1)---------------------
max
ymax=y(-1)=1-(-1+1)^6=1
8
y`=1*e^x+e^x*(x-5)=e^x*(1+x-5)=e^x*(x-4)=0
e^x>0 при любом х
x-4=0
x=4
_ +
----------------(4)------------------
min
ymin=y(4)=(4-5)e^4=-e^4
Приложения:


Вас заинтересует
2 года назад
7 лет назад
7 лет назад
9 лет назад
10 лет назад
10 лет назад