• Предмет: Алгебра
  • Автор: odoro96
  • Вопрос задан 9 лет назад

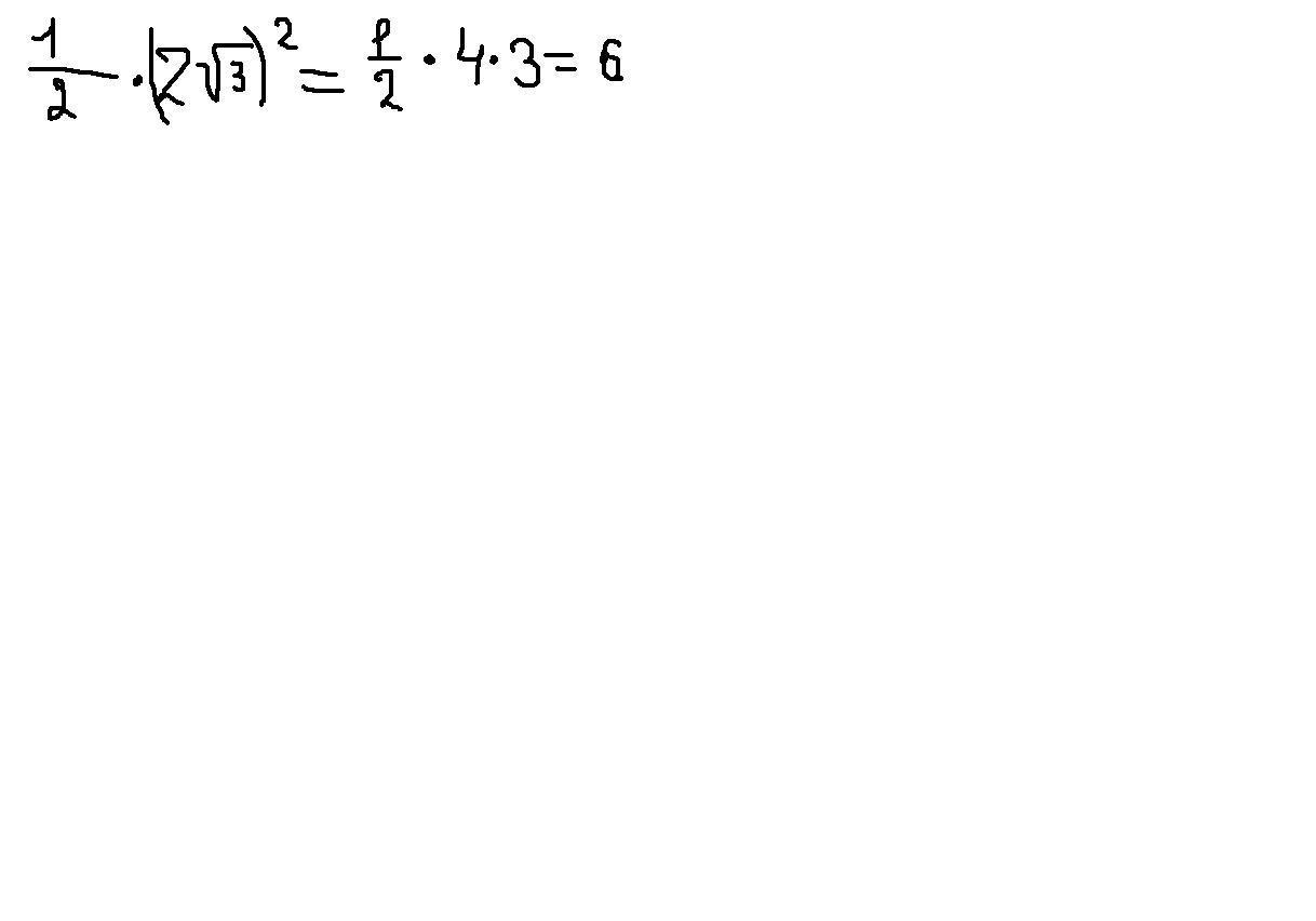
1/2*(2 корень из 3)в квадрате

Ответы

Ответ дал: Darya1805
0
.................................
Приложения:
Вас заинтересует