Ответы
Ответ дал:
0
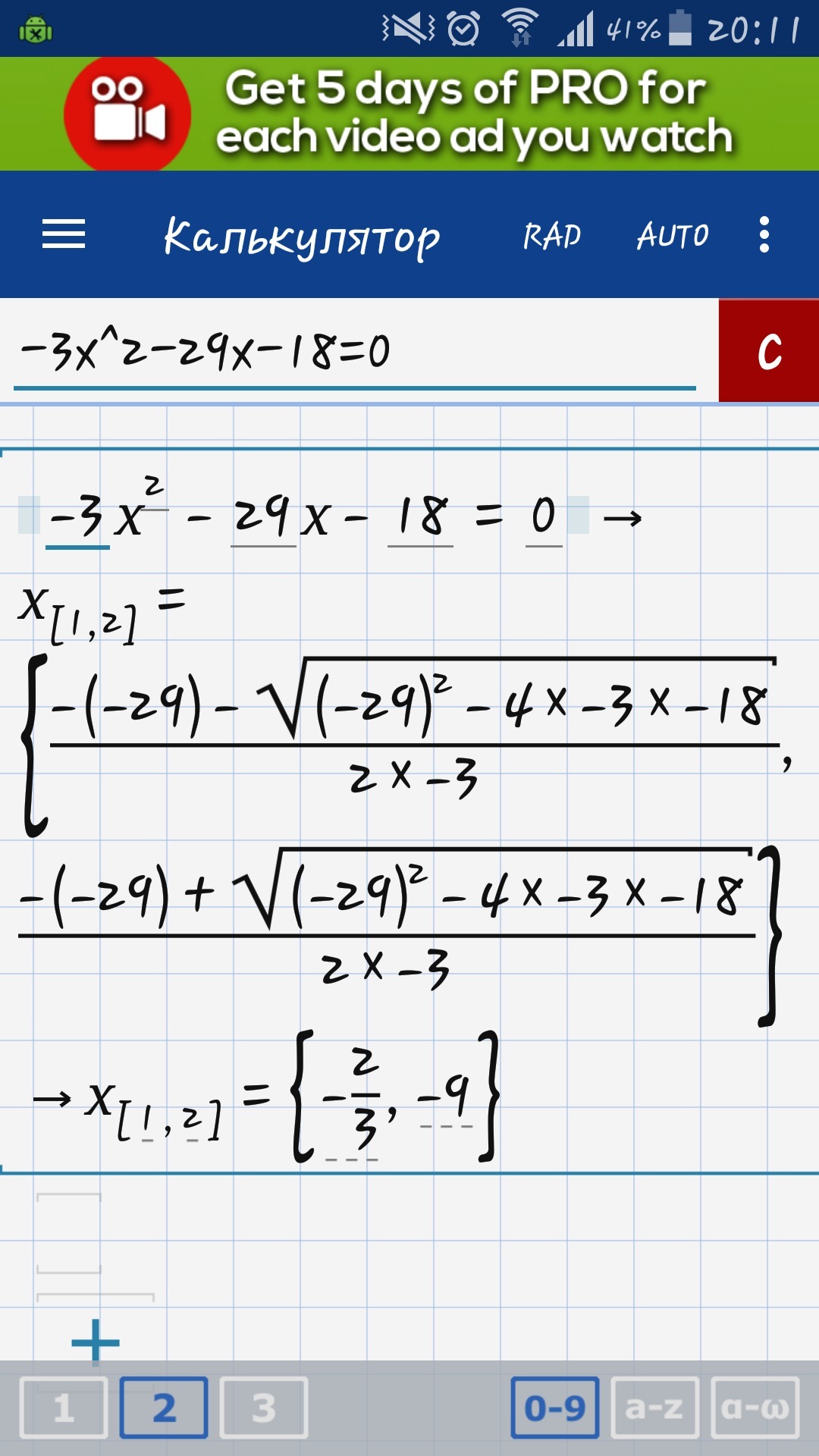
Думаю правильно. Калькулятор не подводил.
Приложения:

Ответ дал:
0
От души
Ответ дал:
0
D=b^2-4ac
D=29^2-4*3*18=841-216=625=25^2
D=29^2-4*3*18=841-216=625=25^2
Приложения:

Вас заинтересует
2 года назад
7 лет назад
7 лет назад
9 лет назад
9 лет назад
10 лет назад
10 лет назад