• Предмет: Математика
  • Автор: Vorona11
  • Вопрос задан 9 лет назад

11 класс
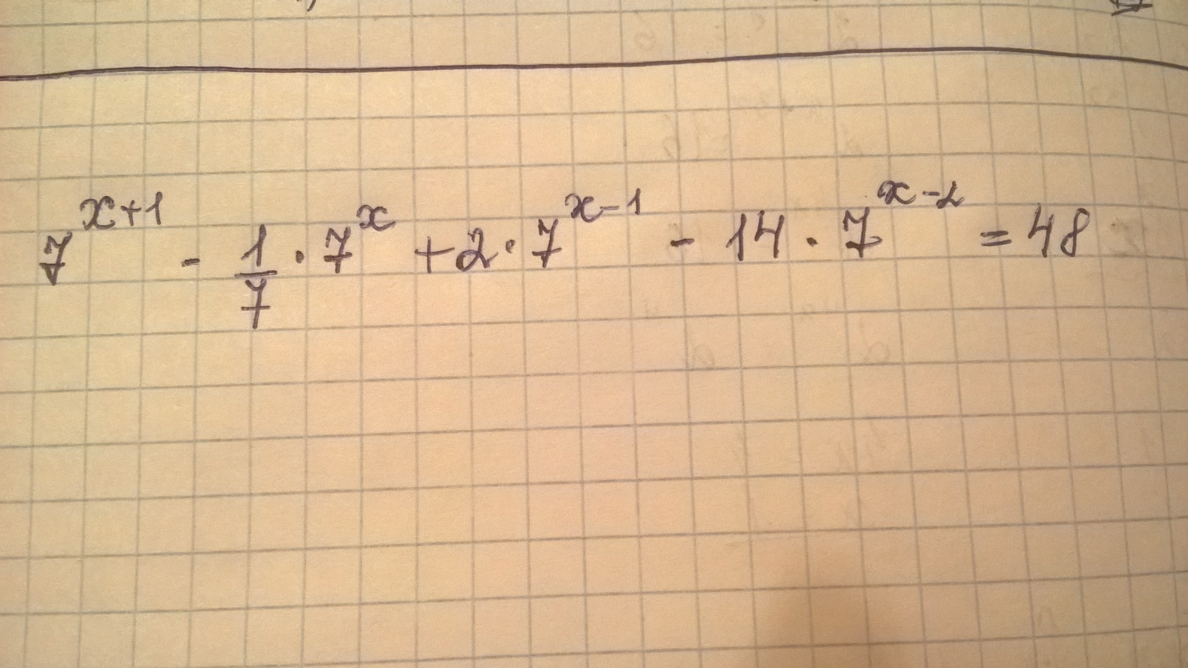
Помогите, пожалуйста, решить

Приложения:

Ответы

Ответ дал: AnonimusPro
0
7^(x+1)-7^(x-1)+2*7^(x-1)-2*7^(x-1)=48;
7^x(7-1/7+2/7-2/7)=48;
7^x=48/7-1/7;
7^x=48/48/7;
7^x=7;
x=1;
Ответ: x=1
Вас заинтересует