• Предмет: Алгебра
  • Автор: chernishev321
  • Вопрос задан 9 лет назад

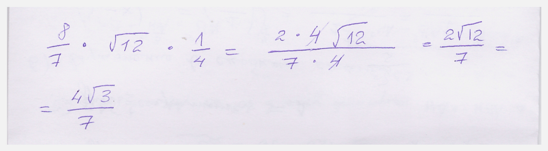
найдите значение выражения 8/7*√12*1/4

Ответы

Ответ дал: Ladyshka
0
Ответ на фото ......................
Приложения:
Вас заинтересует