Ответы
Ответ дал:
0
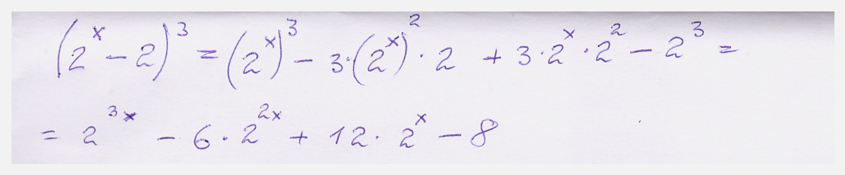
раскрываем по формуле куба разности двух чисел
Приложения:

Ответ дал:
0
Спасибо большое
Ответ дал:
0
Хоть кто-то понял
Ответ дал:
0
)))))
Вас заинтересует
2 года назад
2 года назад
7 лет назад
9 лет назад
9 лет назад
10 лет назад
10 лет назад