• Предмет: Математика
  • Автор: nastyabachonae
  • Вопрос задан 9 лет назад

Помогите со вторым заданием

Приложения:

Ответы

Ответ дал: Trover
0
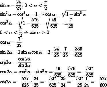
sinalpha=frac{24}{25},;0 textless  alpha textless  fracpi2\sin^2alpha+cos^2alpha=1Rightarrowcosalpha=sqrt{1-sin^2alpha}\cos^2alpha=sqrt{1-frac{576}{625}}=sqrt{frac{49}{625}}=pmfrac7{25}\0 textless  alpha textless  fracpi2Rightarrowcosalpha textgreater  0\cosalpha=frac7{25}\sin2alpha=2sinalphacosalpha=2cdotfrac{24}{25}cdotfrac7{25}=frac{336}{625}\ctg2alpha=frac{cos2alpha}{sin2alpha}\cos2alpha=cos^2alpha-sin^2alpha=frac{49}{625}-frac{576}{625}=-frac{527}{625}
ctg2alpha=-frac{527}{625}:frac{24}{25}=-frac{527}{625}cdotfrac{25}{24}=-frac{527}{25}frac1{24}=-frac{527}{600}
Приложения:
Вас заинтересует