• Предмет: Математика
  • Автор: andrei347
  • Вопрос задан 9 лет назад

Тест по математике 10-11 класс
Хоть что-то решите пожалуйста

Приложения:

Ответы

Ответ дал: fiofionina
0
Решение:
(2/3)^(5x^2-29)=(3/2)^x^2+5
(2/3)^(5x^2-29)=(2/3)(-x^2-5)
5x^2-29=-x^2-5
5x^2-29+x^2+5=0
6x^2-24=0
6x^2=24
x^2=24:6
x^2=4
x1,2=+-√4=+-2
x1=2
x2=-2 
Ответ: х1=2; х2=-2


  
Ответ дал: Trover
0
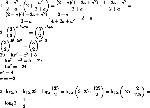
1.;frac{8-a^3}{2+a}:left(2+frac{a^2}{2+a}right)=frac{(2-a)(4+2a+a^2)}{2+a}:frac{4+2a+a^2}{2+a}=\=frac{(2-a)(4+2a+a^2)}{2+a}cdotfrac{2+a}{4+2a+a^2}=2-a\\2.;left(frac23right)^{5x^2-29}=left(frac32right)^{x^2+5}\left(frac32right)^{29-5x^2}=left(frac32right)^{x^2+5}\29-5x^2=x^2+5\-5x^2-x^2=5-29\-6x^2=-24\x^2=4\x=pm2\\3.;log_45+log_425-log_4frac{125}2=log_4left(5cdot25:frac{125}2right)=log_4left(125cdotfrac2{125}right)=\=log_42=frac12

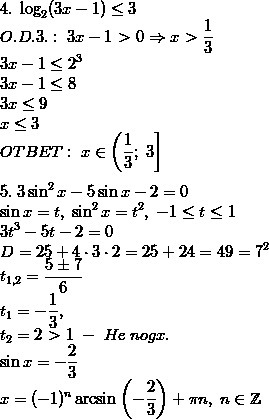
4.;log_2(3x-1)leq3\O.D.3.:;3x-1 textgreater  0Rightarrow x textgreater  frac13\3x-1leq2^3\3x-1leq8\3xleq9\xleq3\OTBET:;xinleft(frac13;;3right]\\5.;3sin^2x-5sin x-2=0\sin x=t,;sin^2x=t^2,;-1leq tleq1\3t^3-5t-2=0\D=25+4cdot3cdot2=25+24=49=7^2\t_{1,2}=frac{5pm7}6\t_1=-frac13,\t_2=2 textgreater  1;-;He;nogx.\sin x=-frac23\x=(-1)^narcsinleft(-frac23right)+pi n,;ninmathbb{Z}

6.;y=frac13x^3-x^2-3x+1\y'=x^2-2x-3\x^2-2x-3=0\D=4+4cdot3=16=4^2\x_{1,2}=frac{2pm4}2\x_1=-1,;x_2=3\x textless  -1:;y' textgreater  0;-;f(x);y6blBaeT\-1 textless  x textless  3:;y' textgreater  0;-;f(x);Bo3pacTaeT\x textgreater  3:;y' textless  0;-;f(x);y6blBaeT\x=-1;-;extr.;min\x=3;-;extr.;max\\7.;int(4x^3+8x-3cos x)dx=int4x^3dx+int8xdx-intcos xdx=\=x^4+4x^2-sin x+C
Приложения:
Вас заинтересует