• Предмет: Математика
  • Автор: Милена8класс
  • Вопрос задан 9 лет назад

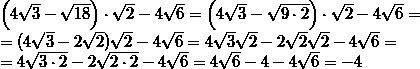
упростить выражение
(4v3-v18)*v2-4v6

Ответы

Ответ дал: Trover
0
left(4sqrt3-sqrt{18}right)cdotsqrt2-4sqrt6=left(4sqrt3-sqrt{9cdot2}right)cdotsqrt2-4sqrt6=\=(4sqrt3-2sqrt2)sqrt2-4sqrt6=4sqrt3sqrt2-2sqrt2sqrt2-4sqrt6=\=4sqrt{3cdot2}-2sqrt{2cdot2}-4sqrt6=4sqrt6-4-4sqrt6=-4
Приложения:
Вас заинтересует