• Предмет: Математика
  • Автор: ьенаб
  • Вопрос задан 9 лет назад

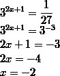
3 в степени 2х+1=1/27

Ответы

Ответ дал: Trover
0
3^{2x+1}=frac1{27}\3^{2x+1}=3^{-3}\2x+1=-3\2x=-4\x=-2
Приложения:
Вас заинтересует