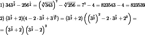
1) 343 в степени 7/3 - 256 в степени 1/4
2) (3 в степени 7/3+2)(4-2•3 в степени 7/3+ 3 в степени 14/3)
Помогите пожалуйста
Ответы
Ответ дал:
0
Приложения:

Вас заинтересует
2 года назад
2 года назад
7 лет назад
7 лет назад
9 лет назад
10 лет назад