• Предмет: Алгебра
  • Автор: havashka098
  • Вопрос задан 9 лет назад

ПОМОГИТЕ!!! ОТВЕТ НАПИШИТЕ ПРОСТО!

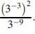
Приложения:

Ответы

Ответ дал: sangers1959
0
(3⁻³)²/3⁻⁹=3⁻⁶/3⁻⁹=1/3⁻³=3³=27.
Ответ дал: angel220volt
0
В ответе 27....................
Вас заинтересует