• Предмет: Математика
  • Автор: bourboncool
  • Вопрос задан 9 лет назад

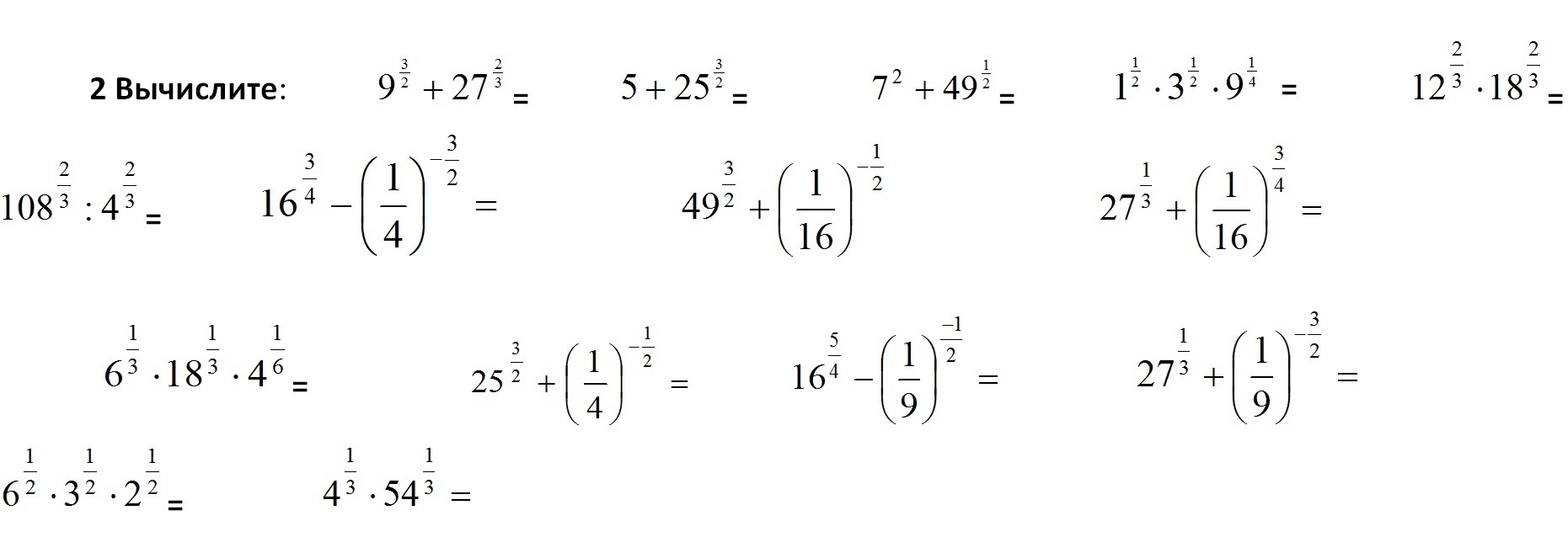
Помогите решить, очень важно, у самого знания нулевые

Приложения:

Ответы

Ответ дал: 123451170
0
589986554345778;"-$389'-390_+-+_9-__7(-:($9:4(9$_;
Вас заинтересует