• Предмет: Математика
  • Автор: АнимешкаAnimeshka
  • Вопрос задан 9 лет назад

Найдите значение выражений под буквами:
Е)
Ж)
З)
И)

Приложения:

Ответы

Ответ дал: Trover
0
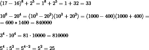
(17-16)^8+2^5=1^8+2^5=1+32=33\\10^6-20^4=(10^3-20^2)(10^3+20^2)=(1000-400)(1000+400) =\=600*1400=840000\\3^4cdot10^4=81cdot10000=810000\\5^4:5^2=5^{4-2}=5^2=25
Приложения:
Вас заинтересует