• Предмет: Математика
  • Автор: god24
  • Вопрос задан 9 лет назад

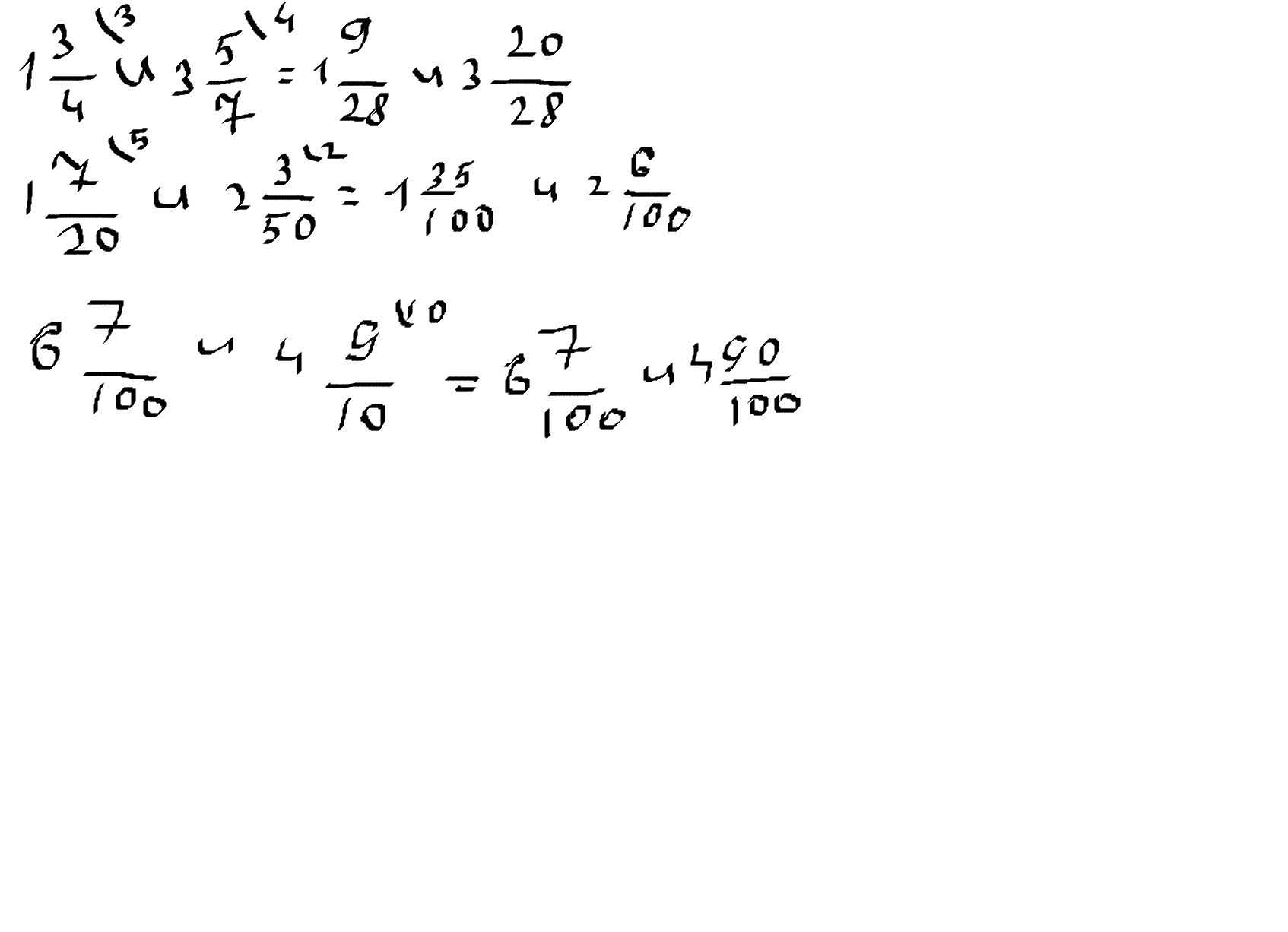
приведите смешанные числа к наименьшему общему знаминателю 1 3/4и 3 5/7. 1 7/20и 2 3/50. 6 7/100 и 4 9/10 это дроби

Ответы

Ответ дал: Nikanetposhelgulat
0
Держи,решение в картинке ниже
Приложения:
Ответ дал: god24
0
спс
Вас заинтересует