• Предмет: Математика
  • Автор: АдмиралМакароша
  • Вопрос задан 9 лет назад

Помогите плиз.
Надо оч

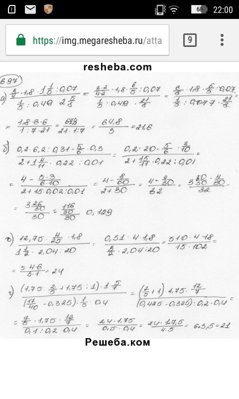
Приложения:

Ответы

Ответ дал: 37462
0
вот так я решала...ну почти сама!!(но ответ правильный)
Приложения:
Ответ дал: 37462
0
видно нормально?
Ответ дал: АдмиралМакароша
0
Да)
Вас заинтересует