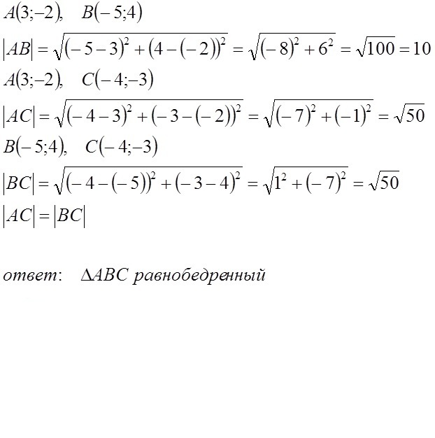
аны уравнения прямых, на которых лежат стороны треугольника 3x+4y−1=03x+4y−1=0, x−7y−17=0x−7y−17=0, 7x+y+31=07x+y+31=0. Доказать, что этот треугольник является равнобедренным.
Ответы
Ответ дал:
0
решение во вложении------------------------
Приложения:


Вас заинтересует
2 года назад
2 года назад
10 лет назад