• Предмет: Математика
  • Автор: jumpe
  • Вопрос задан 9 лет назад

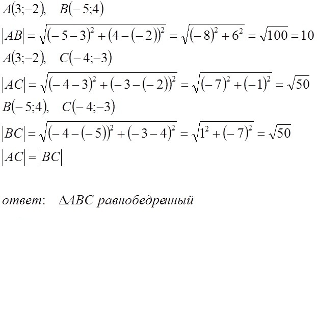
Помогите решить заранее спасибо Даны уравнения прямых, на которых лежат стороны треугольника 3x+4y−1=0, x−7y−17=0, 7x+y+31=0. Доказать, что этот треугольник является равнобедренным.

Ответы

Ответ дал: wejde
0
Решение во вложении.
Приложения:
Ответ дал: kirichekov
0
уууууууууууууу, как все сложно. зачем?
Ответ дал: wejde
0
Более простой способ не пришел в голову. А как попроще если не секрет? ;)
Ответ дал: kirichekov
0
решение во вложении-------------------------
Приложения:
Вас заинтересует