• Предмет: Математика
  • Автор: serious2017
  • Вопрос задан 9 лет назад

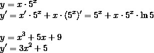
найдите производную функции y=x•5^x и y=x^3+5x+9

Ответы

Ответ дал: Trover
0
y=xcdot5^x\y'=x'cdot5^x+xcdot(5^x)'=5^x+xcdot5^xcdotln5\\y=x^3+5x+9\y'=3x^2+5
Приложения:
Вас заинтересует