• Предмет: Математика
  • Автор: ариана551
  • Вопрос задан 9 лет назад

#731 помогите пожалуйста

Приложения:

Ответы

Ответ дал: Trover
0
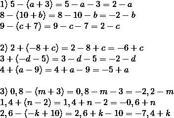
1);5-(a+3)=5-a-3=2-a\8-(10+b)=8-10-b=-2-b\9-(c+7)=9-c-7=2-c\\2);2+(-8+c)=2-8+c=-6+c\3+(-d-5)=3-d-5=-2-d\4+(a-9)=4+a-9=-5+a\\3);0,8-(m+3)=0,8-m-3=-2,2-m\1,4+(n-2)=1,4+n-2=-0,6+n\2,6-(-k+10)=2,6+k-10=-7,4+k
Приложения:
Ответ дал: ариана551
0
спасибо
Вас заинтересует