• Предмет: Математика
  • Автор: demonski
  • Вопрос задан 9 лет назад

sin(3x/2-x)+cos(-x+2П)-sin(п+3п/2)
помогите решить

Ответы

Ответ дал: Trover
0
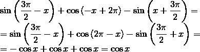
sinleft(frac{3pi}2-xright)+cosleft(-x+2piright)-sinleft(x+frac{3pi}2right)=\=sinleft(frac{3pi}2-xright)+cosleft(2pi-xright)-sinleft(frac{3pi}2+xright)=\=-cos x+cos x+cos x=cos x
Приложения:
Ответ дал: demonski
0
я ошибся , нужно не решить а упростить.
Ответ дал: Trover
0
Это и есть упрощение.
Ответ дал: demonski
0
Спасибо вам огромное.
Вас заинтересует