• Предмет: Химия
  • Автор: prettysly
  • Вопрос задан 9 лет назад

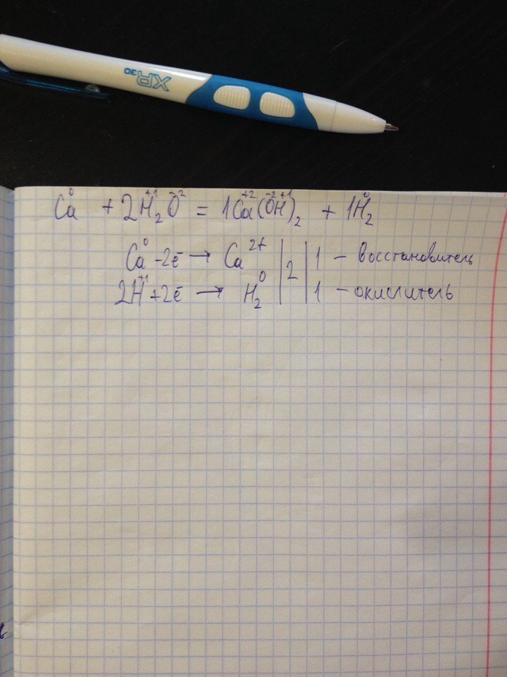
Расставьте коэффициенты в уравнении методом электронного баланса:
Ca + H2O = Ca(OH) 2 + H2
Пришлите пожалуйста фотографией✨

Ответы

Ответ дал: donatello98
0
Вот! Удачи с гидроксидами!
Приложения:
Вас заинтересует