• Предмет: Алгебра
  • Автор: леся113
  • Вопрос задан 9 лет назад

найдите область определения функции у=3х-2:х-2 в корне

Ответы

Ответ дал: Polina2050
0
надеюсь правильно удачи))))
Приложения:
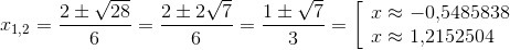
Ответ дал: ivan1411
0
Подкоренное выражение >или=0, т.е 3х-2/х-2>или=0
3х-2/х-2=0
3х^2-2х-2=0
D=(-2)^2-4*(-2)*3=28  √D=√28=2√7
x∈((1+√7)/3;∞)
Приложения:
Вас заинтересует