Ответы
Ответ дал:
0
Используется основное логарифмическое тождество:a^log_a(b)=b
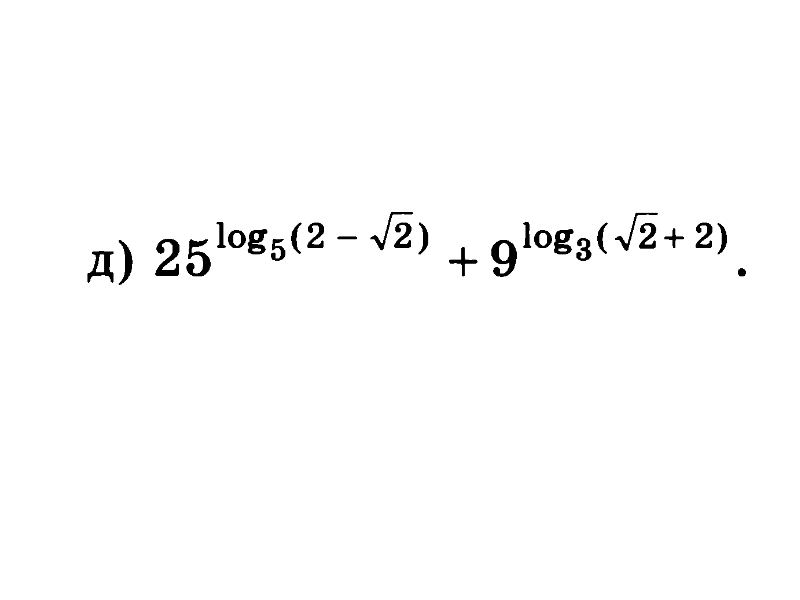
25^log_5(2-√2)+9^log_3(√2+2)=
5^2log_5(2-√2)+3^2log_3(√2+2)=
Произведение степенных показателей можно менять местами:
2*log_5(2-√2)=log_5(2-√2)*2 и 2*log_3(√2+2)=log_3(√2+2)*2, получаем:
(5^log_5(2-√2))^2+(3^log_3(√2+2))^2=
Применяем основное логарифмическое тождентво:
(5^log_5(2-√2))^2=(2-√2)^2
(3^log_3(√2+2))^2=(√2+2)^2, получаем:
(2-√2)^2+(√2+2)^2=
(4-4√2+2)+(2+4√2+4)=
4+2+2+4=12
25^log_5(2-√2)+9^log_3(√2+2)=
5^2log_5(2-√2)+3^2log_3(√2+2)=
Произведение степенных показателей можно менять местами:
2*log_5(2-√2)=log_5(2-√2)*2 и 2*log_3(√2+2)=log_3(√2+2)*2, получаем:
(5^log_5(2-√2))^2+(3^log_3(√2+2))^2=
Применяем основное логарифмическое тождентво:
(5^log_5(2-√2))^2=(2-√2)^2
(3^log_3(√2+2))^2=(√2+2)^2, получаем:
(2-√2)^2+(√2+2)^2=
(4-4√2+2)+(2+4√2+4)=
4+2+2+4=12
Вас заинтересует
2 года назад
2 года назад
7 лет назад
10 лет назад
10 лет назад