Ответы
Ответ дал:
0
1) 4/9 ab^9 * 3/2ab= 4/9 * 3/2 ab^10 = 12/18ab^10
2)-9-5/5 * a^5 b^6=-14/5*a^5 b^6=-2,8a^5 b ^6
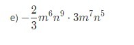
3)-2*3/3 m^13 n^14 =-2m^13 n ^14
2)-9-5/5 * a^5 b^6=-14/5*a^5 b^6=-2,8a^5 b ^6
3)-2*3/3 m^13 n^14 =-2m^13 n ^14
Ответ дал:
0
сделай лучший ответ пожалуйста)
Ответ дал:
0
ответ почему то показывает не верным
Ответ дал:
0
почему?
Вас заинтересует
3 года назад
3 года назад
7 лет назад
7 лет назад
10 лет назад
10 лет назад
10 лет назад