• Предмет: Математика
  • Автор: maargarettt
  • Вопрос задан 9 лет назад

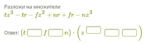
Помогите, нужно разложить на множители. Задание в прикрепленном файле

Приложения:

Ответы

Ответ дал: wejde
0
tz³-tr-fz³+nr+fr-nz³=z³(t-f-n)-r(t-n-f)=(z³-r)(t-f-n)
Ответ дал: maargarettt
0
Спасибо)
Вас заинтересует