Буду очень признателен.
1) Колебательный контур состоит из конденсатора емкостью 1 мкФ и катушки индуктивностью 4 Гн. Амплитуда колебаний заряда на конденсаторе составляет 200 мкКл. Запишите уравнение q(t) и u(t). Постройте зависимость q(t) и u(t). Расчитайте максимальную электрическую энергию колебательного контура.
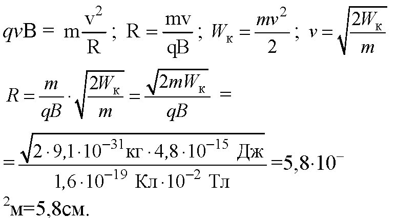
2) В однородном магнитное поле с индуктивностью 10 мТл перпендикулярно к линии магнитной индукции, влетает электрон с кинетической энергией 30 кэВ. Определите радиус окружности, по которой движется электрон в магнитном поле.
Ответы
Ответ дал:
0
№2. Смотрите во вложении.
Приложения:

Вас заинтересует
2 года назад
2 года назад
8 лет назад
8 лет назад
10 лет назад
10 лет назад