Ответы
Ответ дал:
0
Думаю так! В (в) не уверена.
Приложения:

Ответ дал:
0
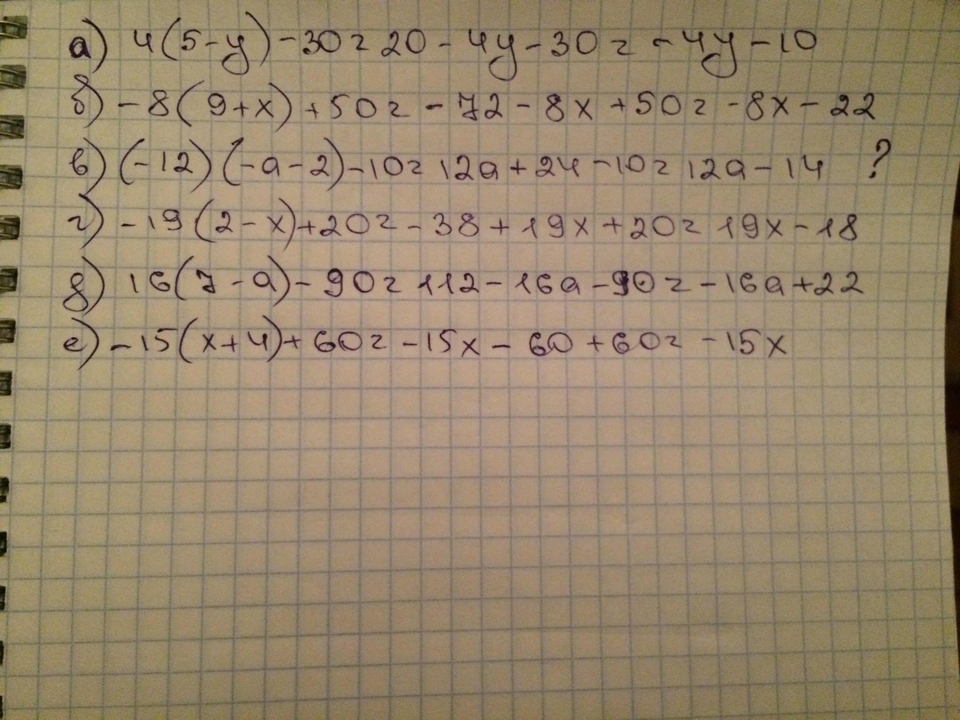
4×(5-у)-30=20-4у-30=-4у-10
-8×(9+x)+50=-72-8x+50=-8x-22
(-12)×(-a-2)-10=12a+24-10=12a+14
-19×(2-x)+20=-38-19x+20=-19x-18
16×(7-a)-90=112-16a-90=-16a+22
-15×(x+4)+60=-15x-60+60=-15x
-8×(9+x)+50=-72-8x+50=-8x-22
(-12)×(-a-2)-10=12a+24-10=12a+14
-19×(2-x)+20=-38-19x+20=-19x-18
16×(7-a)-90=112-16a-90=-16a+22
-15×(x+4)+60=-15x-60+60=-15x
Приложения:

Ответ дал:
0
спасибо
Ответ дал:
0
Пожалуйста :) Обращайся если что.....
Вас заинтересует
2 года назад
2 года назад
7 лет назад
7 лет назад
9 лет назад
10 лет назад