Ответы
Ответ дал:
0
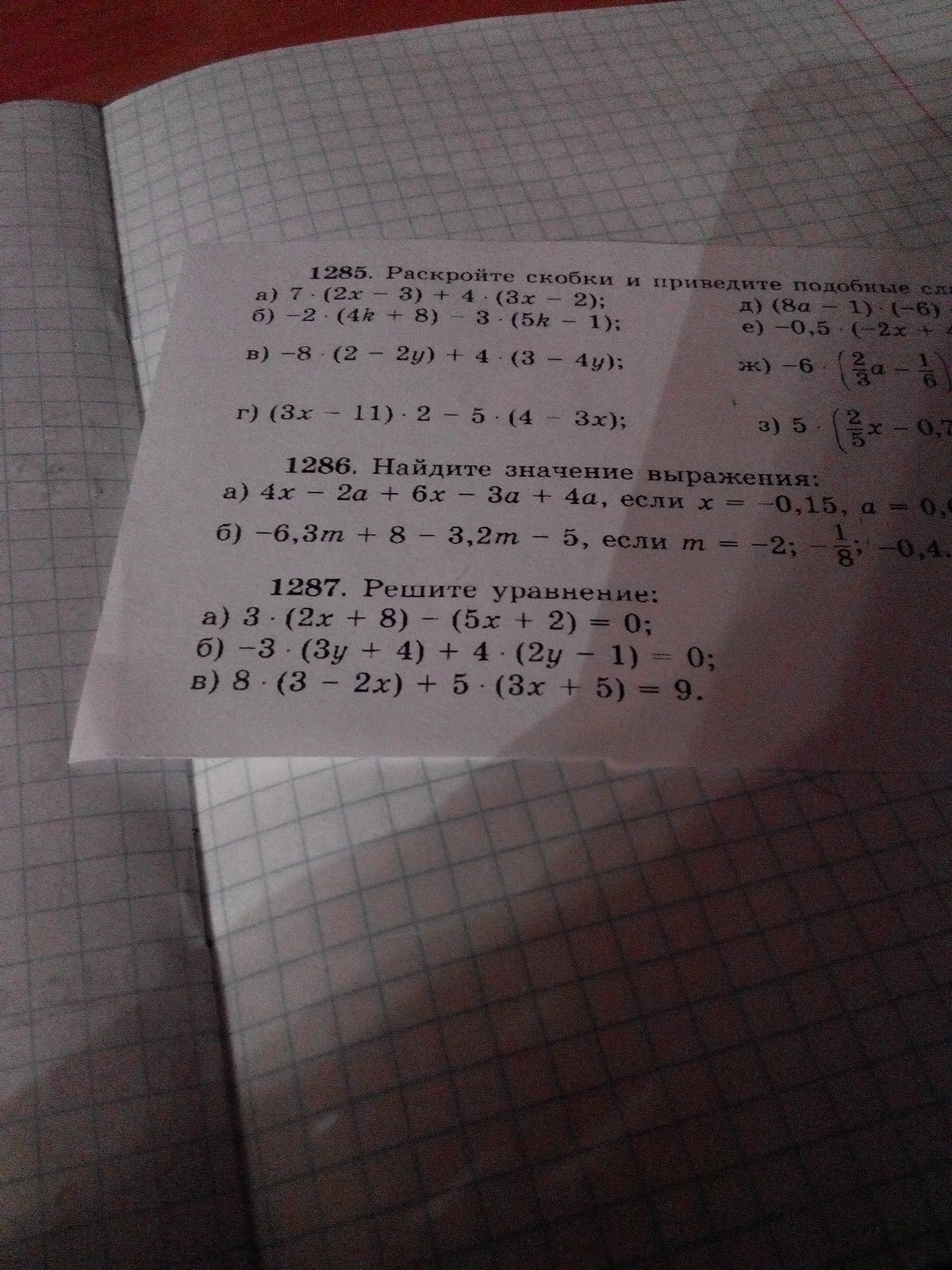
а) 3(2х + 8) - (5х + 2) = 0
6х + 8 _ 5х - 2 = 0
6х - 5х = -8 -2
х = -6
б) -3(3у + 4 ) + 4(2н-1) = 0
-6у - 12 + 8у - 4 = 0
-6у - 8у = 4 +12
2у = 16
у = 8
в) 8(3 - 2х) + 5(3х + 5) = 9
24 - 16х + 15х + 25 = 9
-16х + 15х = 9 - 24 - 25
-х = - 40
х = 40
6х + 8 _ 5х - 2 = 0
6х - 5х = -8 -2
х = -6
б) -3(3у + 4 ) + 4(2н-1) = 0
-6у - 12 + 8у - 4 = 0
-6у - 8у = 4 +12
2у = 16
у = 8
в) 8(3 - 2х) + 5(3х + 5) = 9
24 - 16х + 15х + 25 = 9
-16х + 15х = 9 - 24 - 25
-х = - 40
х = 40
Вас заинтересует
2 года назад
7 лет назад
7 лет назад
10 лет назад
10 лет назад