• Предмет: Физика
  • Автор: ВалерияГунькина
  • Вопрос задан 9 лет назад

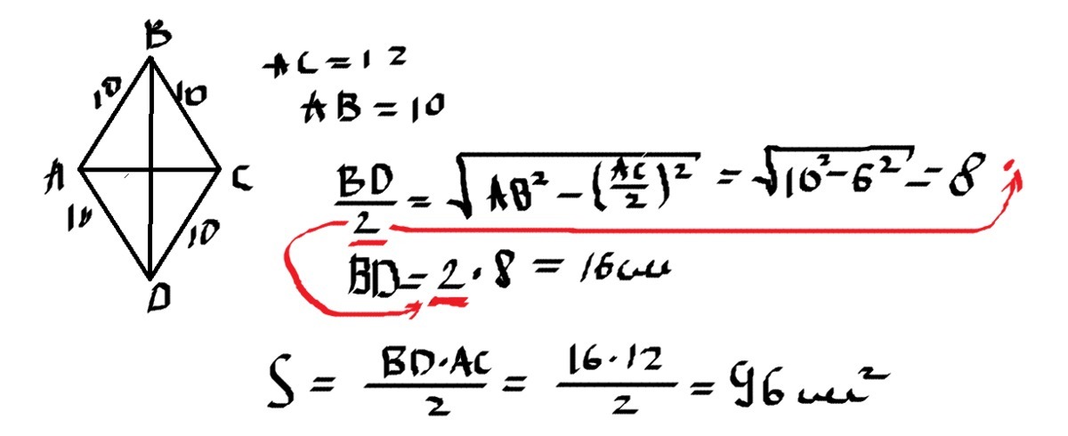
Дан ромб ABCD , AB=10 см ,BD =12 см, найдите площадь

Ответы

Ответ дал: olyndin
0
240   ееееееееееееееееееееееее
Ответ дал: китобойня2017
0
надеюсь это
ас=12
ав=10

Приложения:
Вас заинтересует