помогите плиз,очень срочно надо,
упростить
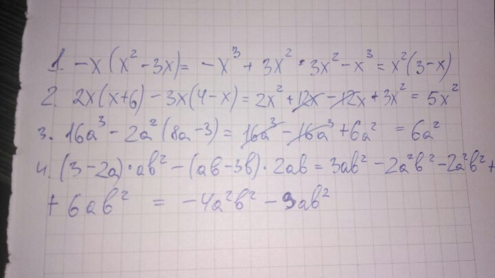
-x*(x^2-3x)=
2x*(x+6)-3x*(4-x)=
16a^3-2a^2*(8a-3)=
(3-2a)*ab^2-(ab-3b)*2ab=
Ответы
Ответ дал:
0
Не уверена, что сократила так,как вам надо...
Приложения:
Ответ дал:
0
-x(x^2-3x)=-(x^2)(x-3)
2x(x+6)-3x(4-x)=x(2x+12-12+3x)=5x^2
16a^3-2a^2(8a-3)=2(a^2)(8a-8a+3)=6a^2
(3-2a)*ab^2-(ab-3b)*2ab=
ab(3b-2ab-2ab+6b)=
ab(9b-4ab)=a(b^2)(9-4a)
2x(x+6)-3x(4-x)=x(2x+12-12+3x)=5x^2
16a^3-2a^2(8a-3)=2(a^2)(8a-8a+3)=6a^2
(3-2a)*ab^2-(ab-3b)*2ab=
ab(3b-2ab-2ab+6b)=
ab(9b-4ab)=a(b^2)(9-4a)
Приложения:
Вас заинтересует
3 года назад
7 лет назад
7 лет назад
10 лет назад
10 лет назад
10 лет назад