Ответы
Ответ дал:
0
Приложения:

Ответ дал:
0
помогите, какой тогда ответ?
Ответ дал:
0
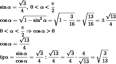
Ответ В) подходит - нужно числитель и знаменатель на корень из 13 домножить.
Вас заинтересует
2 года назад
2 года назад
7 лет назад
7 лет назад
9 лет назад
10 лет назад
10 лет назад